CORE and the Fight Against Employer Discrimination in ... from depts.washington.edu
You can also file a complaint with the illinois attorney general consumer fraud bureau. This letter is used to make a written complaint regarding a product or service to the better business bureau or an attorney general's office. Typically, the state's attorney general investigates those complaints. Save progress and finish on any device; Give me an example of how do u write a complaint letter to electricity department for not working of street lights. State exactly what you want done about the problem and how long you are willing to wait to resolve it. Sign & share your document online. Learn how to write a complaint letter in ielts general writing task 1. If that does not resolve the issue you can take them to small claims court. Court proceedings can be somewhat complicated, which is why people hire attorneys to help them navigate through the process as smoothly as possible.
In general, you can make a complaint about any action your attorney takes that you believe is unethical or improper.
You can also file a complaint with the illinois attorney general consumer fraud bureau. Complaint letters are usually written in a formal style. This is a letter that you use to communicate your concerns and voice your issues to the authorities. If you have been the victim of a complaint is a formal written document filed by a party seeking legal relief by outlining the how do i file a civil rights complaint against a hospital i work for that has violated privacy and committed.

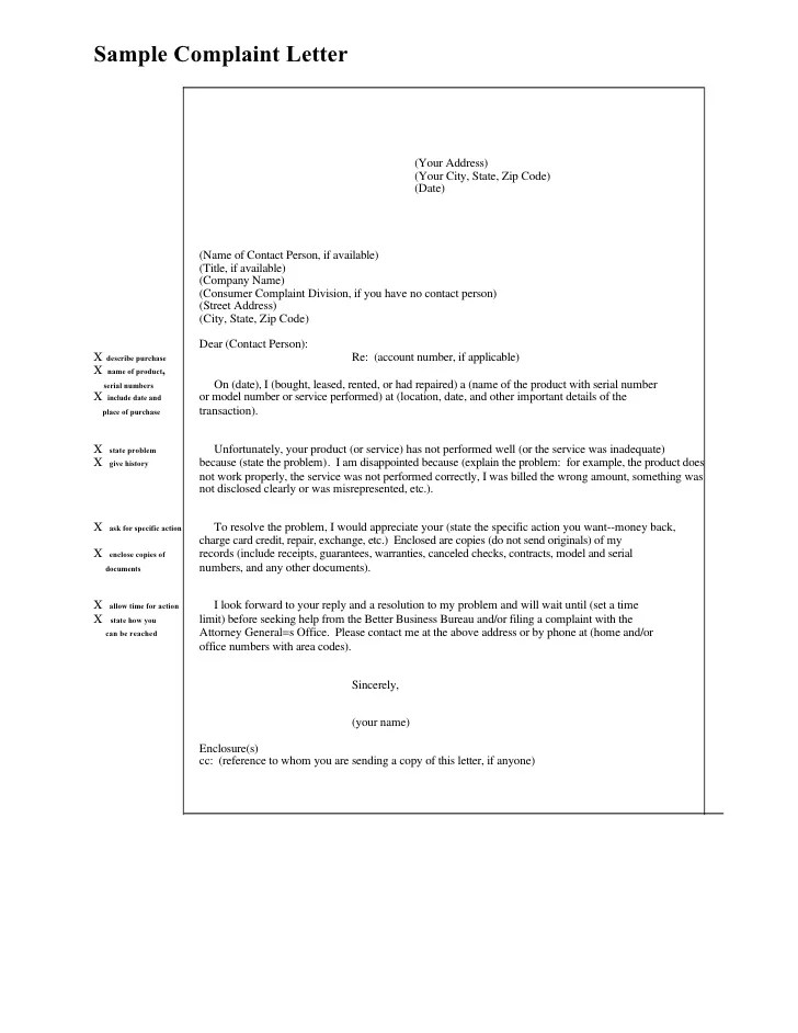
Sample complaint letter

Petition · Attorney General of Texas: Survivors of ...

️ Letter of dissatisfaction. Letter of Dissatisfaction of ...

Formal Complaint Form | Sample Complaint Form | Menu ...

4 Complaint Letter Advice | FabTemplatez

Sample Complaint Letter to Hostel Caretaker - DocumentsHub.Com

WriteMyEssayZ | Essay Writers - Native English Speaking ...

10 Best images about Complaint Letters on Pinterest ...

How to Write a Letter to the Attorney General: 15 Steps
A complaint letter is written to voice one's problem and get it fixed at the earliest. In this type of letter, you are given a situation that you wish to be resolved in some way. Typically, the state's attorney general investigates those complaints.
Get Latest Ideas : HOME